#106. 7 PROPUESTAS PARA UNA NAVIDAD MÁS SANA.
La idealizada Navidad.
Tiempo de paz, reuniones, cariño, y de felices deseos.
La realidad a la que la mayoría nos enfrentamos es lidiar, a veces, con todo lo contrario.
Excesos, tensiones, tiranteces o discusiones.
¿Cómo gestionar todo esto?
Se puede. Te lo explico, desde la psicología y la ciencia.

En el imaginario colectivo, la Navidad se vende como un tiempo de paz, amor y reencuentro familiar, una época mágica repleta de sonrisas, villancicos y generosidad. La publicidad y los medios de comunicación nos bombardean con imágenes de mesas rebosantes, regalos envueltos a la perfección y familias unidas alrededor del árbol, creando una narrativa de felicidad obligatoria y universal. Sin embargo, detrás de este brillante telón de luces de neón y las expectativas sociales, la realidad es, para muchos, mucho más compleja.
En este artículo exploramos juntos el impacto negativo de la Navidad y te ofrezco algunas ideas respaldadas por la medicina y la psicología para conseguir minimizarlo al máximo y poder vivir una navidad lo más sana posible.
1. Las sombras de la Navidad
La ciencia y la psicología han demostrado que estas fechas actúan como una "tormenta perfecta" para la salud mental, donde la presión por la felicidad choca con la realidad individual. Fenómenos como el estrés por las compras y los compromisos, la sobrecarga familiar, el exceso de gasto y el consumismo desmedido son solo la punta del iceberg de una realidad que también incluye la nostalgia y la soledad no deseada.
Para algunas familias con problemas de convivencia, la Navidad, lejos de ser un bálsamo, puede intensificar las tensiones. La obligatoriedad de la reunión y la presión por mantener las apariencias a menudo desencadenan discusiones navideñas y conflictos que ensombrecen el espíritu festivo.
Para las personas que luchan contra trastornos alimenticios, las comidas copiosas y centradas en la comida de esta época pueden ser especialmente desafiantes. De igual forma, el aumento del consumo de alcohol asociado a las celebraciones puede agravar problemas de adicción existentes o latentes. El contraste entre la Navidad idealizada que nos venden y la vivencia personal puede intensificar sentimientos de tristeza y ansiedad.
2. ¿Cuándo la Navidad puede ser un problema para ti y cómo ayudarte a sentirte mejor?
2.1. Si sufres con la toma de alcohol, eres exfumador o tienes adicción a otras drogas.
La permisividad social de estas fechas normaliza consumos de alcohol elevados y aumenta el riesgo de recaídas en personas con adicciones. Estas fechas son especialmente difíciles para ti si este es tu caso o si tienes algún familiar en esta situación.

¿Qué puedes hacer para sentirte mejor?
§ No infravalores el riesgo y peligro de recaída: el consumo de alcohol y los excesos están edulcorados en esta época. No te dejes engañar ni te engañes.
§ Pide ayuda a tu familia para que no te ofrezcan bebidas con alcohol ni te insistan con “por una copa no pasa nada”, “un día es un día”, “venga que es Navidad” (esto vale también si estás dejando de fumar).
§ Elabora un plan con tu psicólogo/a o psiquiatra para hacer frente a estas fechas.
2.2. Si no puedes rechazar o tiendes a priorizar los actos sociales de estas fechas.
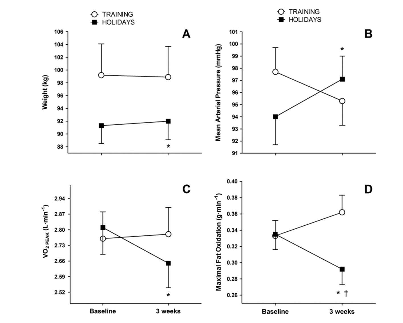
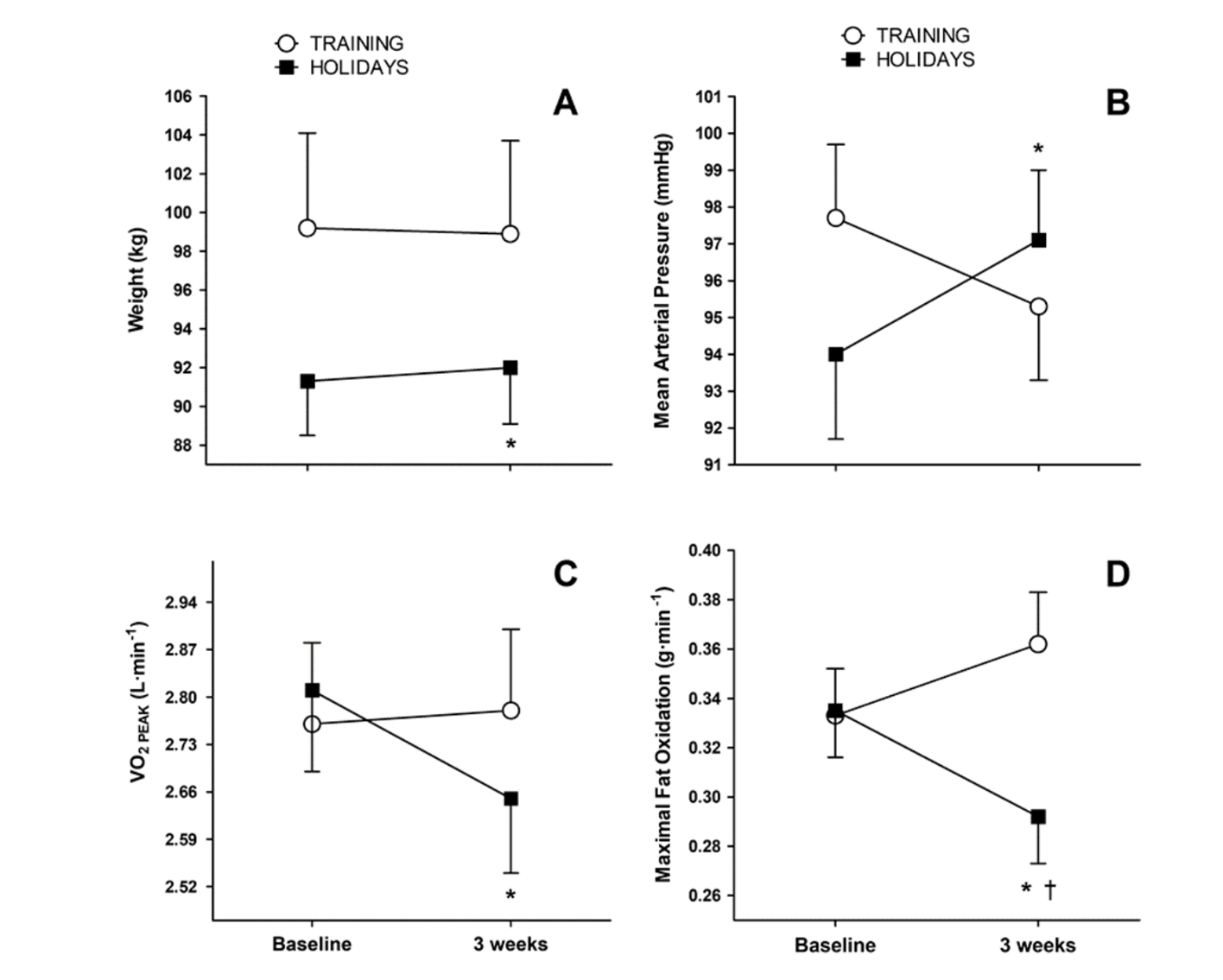
Aunque de esto no hacen falta estudios, unos investigadores encontraron que entrenar durante la Navidad previene el aumento de peso y el deterioro cardiometabólico. Los participantes que durante sus días libres mantuvieron una adecuada actividad física evitaron incrementos en el peso corporal, la presión arterial y los niveles de insulina, además de mantener una adecuada capacidad cardiorrespiratoria.
Por el contrario, los que suspendieron el ejercicio experimentaron un aumento de peso promedio de 0.67 kg, junto con un empeoramiento en su presión arterial, sensibilidad a la insulina y perfil lipídico (sobre todo por aumento de colesterol LDL).

Y es que el ejercicio físico es la mejor estrategia para contrarrestar los efectos negativos de la sobrealimentación y el sedentarismo típicos de la temporada navideña, ayudando a reducir los riesgos de eventos cardiovasculares y metabólicos. Según el estudio que he mencionado, sesiones de 30 minutos, tres veces a la semana, pueden ser suficientes para proteger tu corazón.
2.3. Si vives solo/a, si has perdido a alguien, si has roto con tu pareja…
En estas fechas puedes sentir lo que se llama “depresión blanca”. Este fenómeno, sin ser un término clínico en sí, se relaciona con la teoría de la comparación social. Al percibir que todo el mundo es feliz y está acompañado -una ilusión magnificada por redes sociales y publicidad-, nuestra propia realidad se siente como un fracaso personal. Esto puede intensificar sentimientos de tristeza y nostalgia.
¿Qué puedes hacer para sentirte mejor?
- Normaliza cómo te sientes, permítete estar triste: El primer paso es aceptar que no pasa nada por no estar eufórico. No todos lo están, créeme. Trátate con amor, como harías con un amigo que se siente solo.
- Limita el tiempo que pasas en redes sociales: Recuerda que las redes muestran una versión editada y sesgada de la realidad. Lo que se cuenta ahí no es la vida de las personas, sino la felicidad que quieren mostrar. Al limitar tu tiempo en redes sociales, reduces esa comparación tóxica que tanto daño te causa.
- Proactividad social: Si te sientes solo, toma la iniciativa. La psicología social sugiere que la acción proactiva, aunque cueste, es más beneficiosa que la espera pasiva. Organiza un plan alternativo con otros amigos o familiares que tampoco celebran las fiestas de forma tradicional. El voluntariado es otra excelente opción para conectar y generar dopamina y oxitocina a través del altruismo.
2.4. Si en tu familia hay problemas de convivencia.