#70. La sal es mala para tu salud. ¿Mito o realidad?
Durante años las recomendaciones eran claras: reducir la sal protegía tu salud.
Sin embargo, hoy cada vez es más común escuchar el mensaje de que cuanta más sal, mejor.
¿Por qué esta contradicción? ¿Cuál es la verdad?
En este artículo te cuento qué dice la evidencia al respecto, y te doy algunos consejos prácticos para mejorar tu riesgo cardiovascular.

La hipertensión arterial (HTA), también conocida como presión arterial alta, es uno de los problemas de salud pública más importantes en el mundo. Se estima que hay más de mil millones de hipertensos en todo el mundo. La HTA se caracteriza por una presión arterial sistólica (la alta) superior a 140 mmHg y/o una presión diastólica (la baja) superior a 90 mmHg. Lo peligroso de esta enfermedad es que puede pasar desapercibida durante años, muchas veces no produce síntomas, y se convierte en un "asesino silencioso".
Porque la hipertensión aumenta significativamente el riesgo de sufrir enfermedades cardiovasculares (ECV) como infarto de miocardio, accidente cerebrovasculares (ACV) e insuficiencia renal. A medida que la presión arterial aumenta, también lo hace el riesgo de desarrollar estas complicaciones, y por eso es importante controlarla.

Y aunque las causas de la HTA son diversas, en la mayoría de casos es debida a factores del estilo de vida. Entre ellos, a tu alimentación.
Y aquí es donde entra la sal.
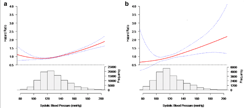
Nos guste más o menos, todos los datos parecen reflejar que el consumo de sal se correlaciona con los niveles de presión arterial. La evidencia científica es abrumadora. La sal común (cloruro de sodio) está presente en muchos de los alimentos que consumimos a diario, y la mayoría de las dietas actuales incluyen cantidades que superan con creces las recomendaciones.
Es el sodio (el principal componente de la sal), el que juega un papel fundamental en el equilibrio de los líquidos en el cuerpo, y por tanto, en la regulación de la presión arterial. Su consumo se correlaciona de manera directa y dosis-dependiente con la presión arterial y el riesgo de enfermedades cardiovasculares.

Y más allá, los estudios muestran que una reducción en la ingesta de sal puede disminuir la presión arterial, particularmente en personas con hipertensión. Esta relación entre la ingesta de sal y la presión arterial es lineal para diferentes rangos de ingesta y además, es independiente a la presión arterial de la que partas.

Fíjate cómo la relación entre presión arterial sistólica (SBP) y diastólica (DBP) (mmHg) es lineal y dosis-dependiente a la ingesta de sodio. Fuente: https://www.ahajournals.org/doi/10.1161/CIRCULATIONAHA.120.050371